트리 순회: 전위, 중위, 후위 (preorder, inorder, postorder)
트리 순회: 전위, 중위, 후위 (preorder, inorder, postorder)
트리 순회 방법
트리 자료구조의 순회 방법으로 전위 순회(preorder), 중위 순회(inorder), 후위 순회(postorder)가 있습니다.
출처 링크
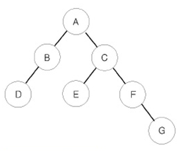
예를 들어 위와 같은 이진 트리가 입력되면,
- 전위 순회한 결과 :
ABDCEFG// (루트) (왼쪽 자식) (오른쪽 자식) ☞ 전루왼오 (∠) - 중위 순회한 결과 :
DBAECFG// (왼쪽 자식) (루트) (오른쪽 자식) ☞ 중왼루오 (∧) - 후위 순회한 결과 :
DBEGFCA// (왼쪽 자식) (오른쪽 자식) (루트) ☞ 후왼오루 (⦣)
가 됩니다.
예제 (자바스크립트)
입력은 첫 줄에는 노드 개수, 둘째줄 부터는 공백을 기준으로 제일 왼쪽이 부모 노드, 그 오른쪽부터 왼쪽 자식 노드, 오른쪽 자식 노드 입니다.
참고로 트리를 구현하고자 할 때 객체를 사용해 키(key)로 부모 노드, 값(value)을 자식 노드들의 배열(또는 기타 자료형)로 하면 구현이 편리하다고 합니다.
재귀함수(Java)를 사용하며, 출력 부분의 위치만 바꾸면 전위, 중위, 후위 출력을 결정할 수 있다는 신기한 점(?) 이 있습니다.
1
2
3
4
5
6
7
8
const input1 = `7
A B C
B D .
C E F
E . .
F . G
D . .
G . .`
1
2
3
4
5
6
7
8
9
10
11
12
13
14
15
16
17
18
19
20
21
22
23
24
25
26
27
28
29
30
31
32
33
34
35
36
37
function traverseTree(inputStr) {
const spl = inputStr.split(/\n/)
const nodeCount = spl[0]
const treeArr = spl.slice(1)
const treeObj = {}
treeArr.forEach(el => {
const elSpl = el.split(/ /)
treeObj[elSpl[0]] = elSpl.slice(1)
})
console.log(treeArr, treeObj)
const order = (node, order) => {
const outArr = []
// outArr.push())의 위치에 따라 전위, 중위, 후위 출력이 결정됨
const orderRecursive = (node, order) => {
const nodeLeft = treeObj[node][0]
const nodeRight = treeObj[node][1]
order == "pre" && outArr.push(node)
if(nodeLeft != ".") {
orderRecursive(nodeLeft, order)
}
order == "in" && outArr.push(node)
if(nodeRight != ".") {
orderRecursive(nodeRight, order)
}
order == "post" && outArr.push(node)
}
orderRecursive(node, order)
return outArr.join("")
}
return order("A", "pre") + "\n" + order("A", "in") + "\n" + order("A", "post")
}
1
console.log(traverseTree(input1))
This post is licensed under
CC BY 4.0
by the author.

